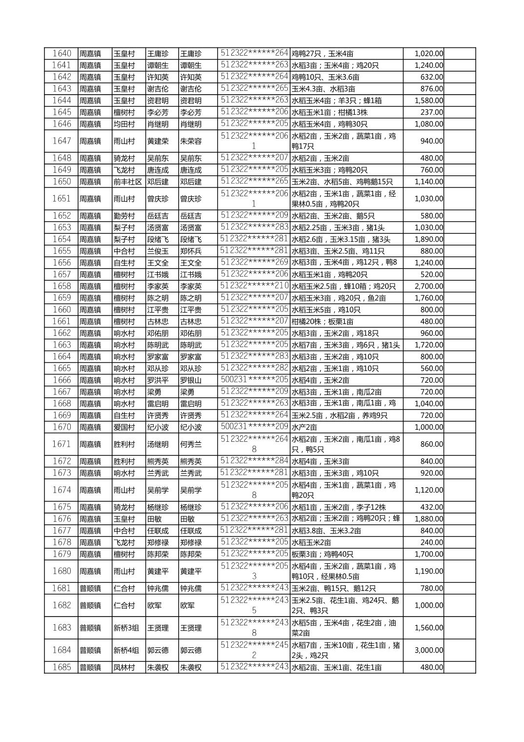
2025年垫江县产业到户扶持项目完成情况(截至8月18日)公示
现将《2025年垫江县产业到户扶持项目完成情况(截至8月18日)》予以公示:
县农业农村委监督电话:74516680
县纪委、监委监督电话:12388
监督举报电话:12345







































































































































扫一扫在手机打开当前页
您当前的位置:首页>农业农村委员会>政府信息公开目录>基层政务公开>领域信息公开>涉贫涉乡村振兴领域>衔接资金及项目>年度计划完成情况
国务院部门网站
省(区市)政府网站
市政府部门网站
版权所有:垫江县人民政府网站 主办单位:垫江县人民政府办公室
网站标识码:5002310001 ICP备案号:渝ICP备12005648号-1
违法和不良信息举报:https://www.12377.cn
公安机关备案标识:渝公网安备 50023102500337号
