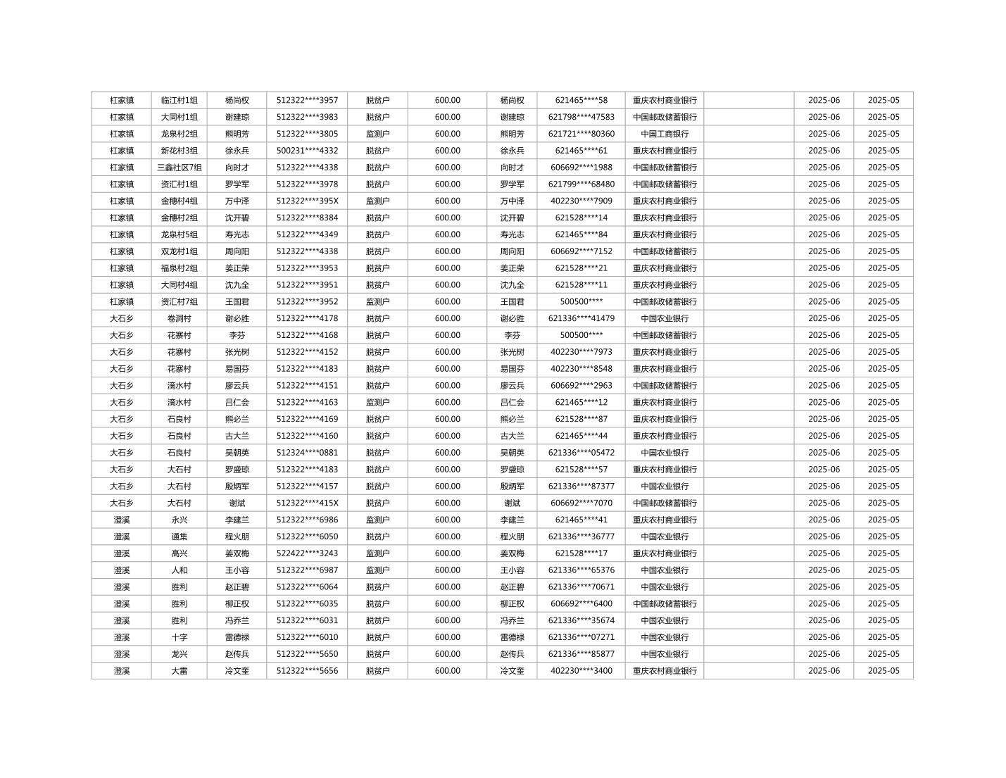
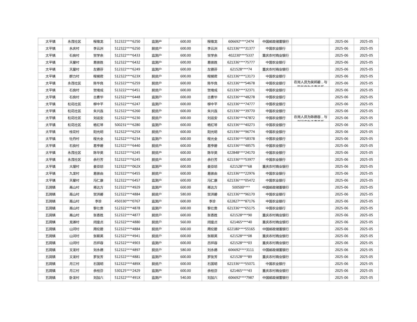
关于2025年5月份临时性公益岗位务工补助情况公示
根据重庆市乡村振兴局《关于加强区县级巩固拓展脱贫攻坚成果和乡村振兴项目库建设管理的通知》(渝乡振发〔2021〕4号)要求,现将2025年5月份临时性公益岗位务工补助情况予以公示。
县乡村振兴局监督电话:74516680
县纪委、监委监督电话:12388
监督举报电话:12345



























扫一扫在手机打开当前页
您当前的位置:首页>农业农村委员会>政府信息公开目录>基层政务公开>领域信息公开>涉贫涉乡村振兴领域>衔接资金及项目>年度计划完成情况
国务院部门网站
省(区市)政府网站
市政府部门网站
版权所有:垫江县人民政府网站 主办单位:垫江县人民政府办公室
网站标识码:5002310001 ICP备案号:渝ICP备12005648号-1
违法和不良信息举报:https://www.12377.cn
公安机关备案标识:渝公网安备 50023102500337号
