您当前的位置:首页>裴兴镇>政府信息公开目录>基层政务公开>领域信息公开>养老服务领域>老年人补贴

[ 索引号 ] 11500231008679599E/2025-00116 [ 发文字号 ]
[ 主题分类 ] 其他 [ 体裁分类 ] 其他
[ 发布机构 ] 垫江县裴兴镇 [ 有效性 ]
[ 成文日期 ] 2025-09-24 [ 发布日期 ] 2025-09-24

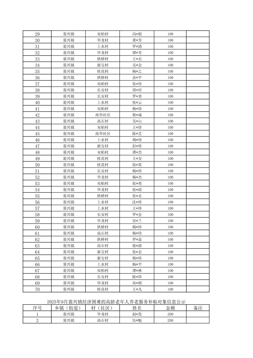
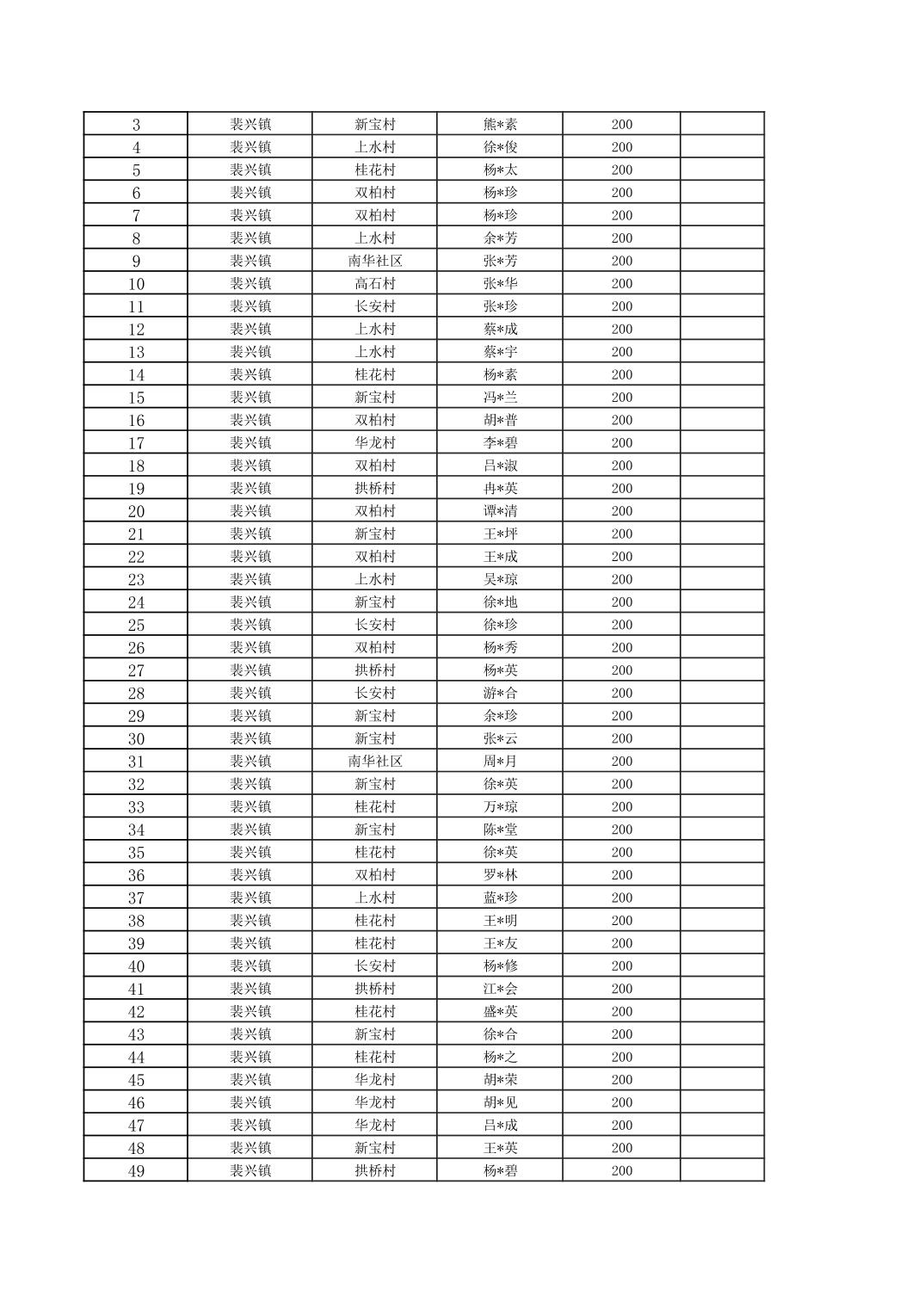
2025年9月裴兴镇高龄三项对象信息公示


扫一扫在手机打开当前页