| [ 索引号 ] | 11500231008679468J/2026-00013 | [ 发文字号 ] | |
| [ 主题分类 ] | 财政 | [ 体裁分类 ] | 财政预算、决算 |
| [ 发布机构 ] | 垫江县永安镇 | [ 有效性 ] | |
| [ 成文日期 ] | 2026-02-10 | [ 发布日期 ] | 2026-02-10 |
垫江县永安镇人民政府(本级)2026年单位预算情况说明
垫江县永安镇人民政府(本级)2026年单位预算情况说明
一、单位基本情况
(一)职能职责
乡镇人民政府职能(依据为《中华人民共和国地方各级人民代表大会和地方各级人民政府组织法》): (一)执行本级人民代表大会的决议和上级国家行政机关的决定和命令,发布决定和命令; (二)执行本行政区域内的经济和社会发展计划、预算,管理本行政区域内的经济、教育、科学、文化、卫生、体育事业和财政、民政、公安、司法行政、计划生育等行政工作; (三)保护社会主义的全民所有的财产和劳动群众集体所有的财产,保护公民私人所有的合法财产,维护社会秩序,保障公民的人身权利、民主权利和其他权利; (四)保护各种经济组织的合法权益; (五)保障少数民族的权利和尊重少数民族的风俗习惯; (六)保障宪法和法律赋予妇女的男女平等、同工同酬和婚姻自由等各项权利; (七)办理上级人民政府交办的其他事项。
(二)单位构成
1、机构设置情况
垫江县永安镇人民政府内设机构5个,分别是:基层治理综合指挥室,党的建设办公室,经济发展办公室,民生服务办公室,平安法治办公室。
2、财政人员供养情况
现有财政供养人员43人,其中:在职人员27人,遗嘱补助16人,三支一扶0人。行政村11个、居委3个,106个社(组)。
二、单位收支总体情况
(一)收入预算:2026年年初预算数3235.94万元,其中:一般公共预算拨款3222.74万元,政府性基金预算拨款13.1万元,国有资本经营预算收入0.1万元,事业收入0万元,事业单位经营收入0万元,其他收入0万元;收入较去年增加1770.81 万元,主要是一般公共预算资金拨款增加1820.36万元。
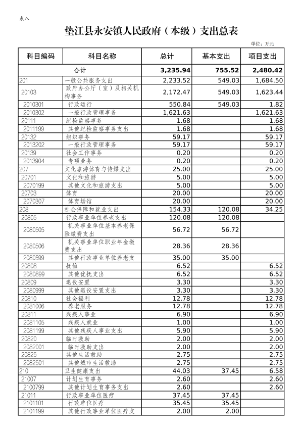
(二)支出预算:2026年年初预算数3235.94万元,其中:一般公共服务支出2233.52万元,文化旅游体育与传媒支出25万元,、社会保障和就业支出154.33万元,卫生健康支出44.03万元,节能环保支出1.21万元,城乡社区支出8.93万元,农林水支出630.81万元,交通运输支出84.88万元,住房保障支出48.96万元,国有资本经营预算支出0.1万元,其他支出4.17万元;支出较去年增加1770.81万元,主要是基本支出减少380.61万元,项目支出增加2151.43万元。
三、单位预算情况说明
2026年一般公共预算财政拨款收入3222.74万元,一般公共预算财政拨款支出3222.74万元,比2025年增加1820.36万元。其中:基本支出755.52万元,比2025年减少380.61万元,主要原因是在职人员减少,主要用于保障在职人员工资福利及社会保险缴费、离休人员离休费、退休人员补助等减少,保障部门正常运转的各项商品服务支出减少;项目支出2467.22万元,比2025年增加2200.98万元,主要原因是一般行政管理事务支出增加,主要用于乡镇重点建设项目。
2026年政府性基金预算收入13.1万元,政府性基金预算支出13.1万元,比2025年减少47.6万元,主要原因是上级拨付相关资金减少,主要用于城乡社区支出。
四、“三公”经费情况说明
2026年“三公”经费预算3.70万元,比2025年减少0万元。其中:因公出国(境)费用0万元,比2025年减少0万元,主要原因是无出国(境)费用;公务接待费2.70万元,比2025年减少0万元,主要原因是公务接待已压缩到最低;公务用车运行维护费1.00万元,比2025年减少0万元,主要原因是公务用车运行维护费已压缩到最低;公务用车购置费0万元,比2025年减少0万元;主要原因是不购车。
五、其他重要事项的情况说明
(一)机关运行经费。2026年一般公共预算财政拨款运行经费108.43万元,比上年增加5.52万元,主要原因为在职人员数增加;主要用于办公费、印刷费、邮电费、水电费、物管费、差旅费、会议费、培训费及其他商品和服务支出等。
(二)政府采购情况。所属各预算单位政府采购预算总额0万元:政府采购货物预算0万元、政府采购工程预算0万元、政府采购服务预算0万元;其中一般公共预算拨款政府采购0万元:政府采购货物预算0万元、政府采购工程预算0万元、政府采购服务预算0万元。
(三)绩效目标设置情况。2026年项目支出均实行了绩效目标管理,涉及一般公共预算当年财政拨款2467.22万元。
(四)国有资产占有使用情况。截止2025年12月,所属各预算单位共有车辆2辆,其中一般公务用车1 辆、执勤执法用车1辆。2026年一般公共预算安排购置车辆0辆,其中一般公务用车0辆、执勤执法用车0辆。
(五)委托业务费使用情况。2026年财政拨款委托业务费支出5.1万元,主要用于委托外单位或人员对乡镇部分项目的办理。
六、专业性名词解释
(一)财政拨款收入:指本年度从本级财政部门取得的财政拨款,包括一般公共预算财政拨款和政府性基金预算财政拨款。
(二)其他收入:指单位取得的除“财政拨款收入”、“事业收入”、“经营收入”等以外的收入。
(三)基本支出:指为保障机构正常运转、完成日常工作任务而发生的人员经费和公用经费。
(四)项目支出:指在基本支出之外为完成特定行政任务和事业发展目标所发生的支出。
(五)“三公”经费:指用一般公共预算财政拨款安排的因公出国(境)费、公务用车购置及运行维护费、公务接待费。其中,因公出国(境)费反映单位公务出国(境)的国际旅费、国外城市间交通费、住宿费、伙食费、培训费、公杂费等支出;公务用车购置费反映单位公务用车购置支出(含车辆购置税);公务用车运行维护费反映单位按规定保留的公务用车燃料费、维修费、过路过桥费、保险费、安全奖励费用等支出;公务接待费反映单位按规定开支的各类公务接待(含外宾接待)支出。
单位预算公开联系人:刘老师联系方式:023-74546695
附表:1. 垫江县永安镇人民政府财政拨款收支总表
2. 垫江县永安镇人民政府一般公共预算财政拨款支出预算表
3. 垫江县永安镇人民政府一般公共预算财政拨款基本支出预算表
4. 垫江县永安镇人民政府一般公共预算“三公”经费支出表
5. 垫江县永安镇人民政府政府性基金预算支出表
6. 垫江县永安镇人民政府部门收支总表
7. 垫江县永安镇人民政府部门收入总表
8. 垫江县永安镇人民政府部门支出总表
9. 垫江县永安镇人民政府政府采购明细表
10. 垫江县永安镇人民政府2026年项目绩效目标表




















































